反向传播算法
* 本质:计算梯度的方法
* 如何计算梯度的算法
* 符号


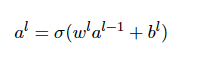
* 关联公式
- 每一层l都定义一个权重矩阵 $$w^l$$,表示连接到$$l^{th}$$层神经元的权重
- 每一层定义一个偏执矩阵 $$b^l$$
- 激活向量$$a^l$$, 激活值:$$a_j^l$$
==>

1.1 代价函数
- 反向传播算法的目标:计算关于$$w$$和$$b$$的偏导数
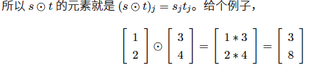
1.2 Hadamard乘积

2. 反向传播的四个基本方程
- 反向传播是对权重和偏置变化影响代价函数的过程的理解

* 误差的定义

2.1. 输出层的误差的方差
2.2.
2.3.

2.4.
- sigmoid激活函数:,如果输出神经元激活值很低,或者输出神经元已经饱和了(过 高或者过低的激活值),权重会学习缓慢。
3. 四个基本方差的证明
=>